Hier meldet sich die Forschungsgruppe Infratest MC-Wahlen live aus dem Studio in Pusemuckel mit der ersten Hochrechnung.
Hallo Pusemuckel, was können Sie uns präsentieren?
Guten Abend, meine Damen und Herren, zunächst einmal vielen Dank für Ihre Geduld, die Praktikanten arbeiten jetzt wieder korrekt.
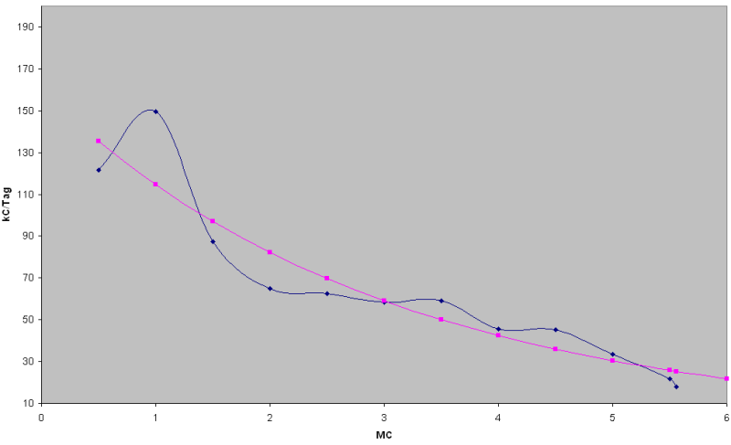
Wir haben mittlerweile die ersten fünf Millionen Fünfhundertachtundfünfzigtausend neunhundertfünfundvierzig Klicks ausgewertet und können damit einen ersten Trend für das Ergebnis dieses spannenden Ereignisses abgeben. Zunächst die Grafik:
Wie Sie sicherlich sofort alle erkennen, haben wir eine Exponentialfunktion nach der Methode der kleinsten Quadrate an die bisherigen fünf Millionen Fünfhundertachtundfünfzigtausend neunhundertfünfundvierzig Klicks angenähert. Daraus ergibt sich ein Zieleinlauf am
06.04.2012 um genau 22:23:52,31.
Vielen Dank erst einmal an Pusemuckel. Aber das ist bestimmt noch nicht das Endergebnis, oder?
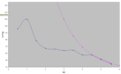
Nein, unser Chefpraktikant hat, nur bei Currywurst und Hopihalido, weiter gerechnet.
Er hat im Delirium etwas von überexponentiell erzählt und den
17.04.2012 15:34:48,07 berechnet.
Oh, das ist ja sehr interessant, welches Ergebnis wird denn nun das Endergebnis sein?
Das können wir noch nicht mit Sicherheit sagen, Moment, hier kommt gerade das Ergebnis unserer Reinigungsfachkraft:

- Image6.png (12.65 KiB) 1240 mal betrachtet
Sie hat wohl die Haare im Abfluss gezählt und mit dem aktuellen Preis eines Liters Bleifrei Super E10 verglichen und behauptet, daß offizielle Endergebnis wird am
10.04.2012 22:19:21,54 erreicht.
Mir raucht der Kopf, wir geben ab zur Werbung.
Micha, ich halte mich an den Tipp der Putze.